Lyn Gillanders m, Alastair Forbes n, Margie O’Callaghan o, Ceferino Martínez Faedo p, Cinzia Brunelliq,r, Luigi Mariani s, Loris Pironi t, Home Artificial Nutrition and Chronic Intestinal Failure Special Interest Group of the European Society for Clinical Nutrition and Metabolism (ESPEN)
a Department of Nutrition and Dietetics, Kings Cross Hospital, Dundee, UK
b Department of Public Health, University of Aberdeen, UK
c Faculty of Medicine, Milan, Italy
d Oley Foundation for Home Parenteral and Enteral Nutrition, Albany, NY, USA
e Centre for Gastroenterology and Nutrition Support, Ho^pital Beaujon, Paris, France
f Radboud University Nijmegen Medical Centre, Amsterdam, The Netherlands
g Academic Medical Centre, Amsterdam, The Netherlands
h Hospital General Universitario Gregorio, Maranon, Madrid, Spain
i Medico-Surgical Department of Gastroenterology, Ho^pital Erasme, Brussels, Belgium
j General and Oncology Surgery Unit, Intestinal Failure Center, Stanley Dudrick’s Memorial Hospital, Skawina, Poland
k Department of Surgery, CHU de Qu’ebec, Universit’e Laval, Canada
l Department of Gastroenterology, Rigshospitalet, Denmark
m Nutrition Services, Auckland City Hospital, New Zealand
n Norwich Medical School, University of East Anglia, Norwich, UK
o Flinders Medical Centre, Bedford Park, Australia
p Hospital Universitario Central de Asturias, Oviedo, Spain
q Palliative Care, Pain Therapy and Rehabilitation Unit, Fondazione IRCCS Istituto Nazionale dei Tumori, Milano, Italy
r European Palliative Care Research Centre (PRC), Department of Cancer Research and Molecular Medicine, Faculty of Medicine, Norwegian University of Science and Technology (NTNU), Trondheim, Norway
s Clinical Epidemiology Unit, Fondazione IRCCS Instituto Nazionale dei Tumozi, Milano, Italy
t Centre for Chronic Intestinal Failure, Department of Digestive System, St. Orsola-Malpighi Hospital, University of Bologna, Italy
a r t i c l e i n f o
Article history:
Received 18 August 2017
Accepted 20 July 2018
Keywords:
Home parenteral nutrition Quality of life
Patient reported outcomes Intestinal failure
* Corresponding author. Department of Nutrition and Dietetics, Kings Cross Hospital, Dundee, UK.
E-mail address: janetbaxter@nhs.net (J.P. Baxter).
https://doi.org/10.1016/j.clnu.2018.07.024
0261-5614/© 2018 Elsevier Ltd and European Society for Clinical Nutrition and Metabolism. All rights reserved.
Evde Parenteral Beslenme Alan Yetişkin Hastaların Yaşam Kalitesi Üzerine Uluslararası Bir Çalışma [Çeviri]
ÖZET
Giriş ve Amaç: Evde parenteral beslenme-yaşam kalitesi (HPN-QOL ©), evde parenteral beslenen hastalarda yaşam kalitesi ölçümü, kendilerini değerlendirme aracıdır.
Bu çalışmanın amacı: HPN-QOL © ‘nun temel psikometrik özelliklerini çok uluslu yetişkin hasta örnekleriyle yeniden değerlendirmek; yaşam kalitesi boyutlarının kısa ve uzun evde parenteral beslenme tedavi süresi ile açıklanması; yaşam kalitesi skorları ile potansiyel olarak ilişkili klinik faktörleri araştırmaktır.
Yöntem: Çalışmaya katılan 14 ülkeden hasta (n = 699) HPN-QOL © anketini doldurdu. Anketler veri bütünlüğü, tamamlayıcı / ayırt edici geçerliliği ve iç tutarlılık güvenilirliğini değerlendirmek için analiz edildi. Diğer klinik faktörlerde olduğu gibi yaşam kalitesi ve evde parenteral beslenme tedavi süresi arasındaki ilişki, çok değişkenli lineer regresyon modelleri kullanılarak incelendi.
Bulgular: Çok maddeli ölçeklendirme ve iç tutarlılığın analizi, çoğu madde için anket yapısına iyi bir uyum olduğunu göstermektedir. Soruların ayırt edici geçerlilik korelasyonu yeterli bulunmuş ve
HPN-QOL ©’nun İngilizce, Fransızca ve İtalyanca dil alt gruplarında psikometrik olarak farklı değerlendirilmesi, üç anket versiyonunun psikometrik eşdeğerini doğrulamıştır. Diğer faktörleri ve evde parenteral beslenme infüzyonunun bir haftada kaç gün olacağını ayarladıktan sonra, çok değişkenli doğrusal regresyonun sonuçları, yaşam kalitesi puanlarının evde parenteral beslenme süresi (uzun vadede daha iyi), altta yatan hastalık (Crohn hastalığı ve mezenterik iskemide daha iyi) ve hayat tarzı (yalnız yaşayanlarda daha kötü) ile anlamlı bir şekilde ilişkili olduğunu göstermiştir.
Sonuç: Evde parenteral beslenen hastalarda yaşam kalitesi ölçümü için HPN-QOL ©, klinik uygulamalarda ve araştırmalarda kullanılabilecek geçerli bir araçtır.
1. GİRİŞ
Bağırsak yetmezliği “makro besinlerin ve / veya su ve elektrolitlerin emilimi için gerekli olan bağırsak fonksiyonunun, sağlığın ve / veya büyümenin sürdürülmesi için intravenöz takviyeye gerek duyulması” olarak tanımlanmaktadır [1]. Evde parenteral beslenme (HPN), kronik bağırsak yetersizliğinin primer tedavisidir (CIF) [2]. HPN’nin temel amacı, kronik intestinal yetmezliği olan hastaların yaşam kalitesini (QOL) iyileştirme ve sosyo-ekonomik rehabilitasyona gerek duyulan hastaların yaşam sürelerini arttırmaktır [3]. Her ne kadar HPN’li hastalar tam olarak normal hallerine geri dönüş sağlayamasalar da, HPN öncesiyle karşılaştırıldığında daha iyi duruma gelirler [4]. HPN, CIF’li hastalar için hayat kurtaran bir tedavi olsa da, besinlerin bir santral damar içine infüzyonuyla altta yatan durumun devam eden semptomları ile karşı karşıya kalınabilir ve aynı zamanda hastaların yaşamını kökten değiştirerek, karmaşık ve teknolojiye bağlı bir yaşam tarzı yaşamalarına sebep olabilir [5]. Fiziksel problemleri olan hastalarda invaziv olarak kullanılan ve birçok psikolojik zorlukla karşı karşıya kalan hastalarda kullanılan, zaman alıcı bir tedavidir [6]. Ciddi enfeksiyon, tromboz ve karaciğer yetmezliği gibi, potansiyel olarak hayati tehlike oluşturan komplikasyon tehditlerine verilen genel tepkiler anksiyete ve korkudur [6]. Depresyon, öfke, olumsuz benlik imajı ve sosyal sınırlamalar sıklıkla bildirilmektedir. HPN hastalarının %55’inde sosyal bozulma ile sonuçlanan dikkatsizce yapılan kateter bakımı ve %65’inde görülen depresyon, tedavi için ciddi sonuçlar doğurabilir [7]. Bu faktörlerin tümü yaşam kalitesini etkileyebilir. İş ve eğlence gibi günlük aktiviteleri doğrudan etkileyen şiddetli yorgunluk, en sık görülen şikayetlerden biri olarak (HPN hastalarının yaklaşık %63’ü) bildirilmiştir [8]. 2012 yılında, 16 Avrupa ülkesinde HPN prevalansının, nüfusun milyonda 3.25 ila 66 hasta arasında olduğu tahmin edilmiştir [9]. Yetişkinlerde HPN için en yaygın endikasyon, ; motilite bozuklukları ve kansere bağlı bağırsak tıkanıklığı, mezenterik iskemi ve Crohn hastalığı gibi altta yatan hastalıklar kaynaklı kısa bağırsak durumlarıdır [7]. ABD ve Avrupa’daki malign olmayan hastalıklar nedeniyle CIF için HPN alan hastaların yaklaşık %60-79’u beş yıl veya daha uzun süre hayatta kalmaktadır. 10 yıl yaşayanların ise %84’ü HPN’ye bağımlı kalmakta ve bunların önemli bir kısmı ise 20 yıl veya daha uzun süre yaşamaktadır [8-14]. ESPEN’in 2009 yılında yayınladığı yetişkinlerde HPN kullanımı kılavuzlarında [15], hastalığa özgü araçlar kullanarak HPN hastalarında yaşam kalitesini belirleyen çalışmaların olmadığını kabul etmiş ve yaşam kalitesi ölçümünün klinisyenin perspektifinden ziyade hasta bazlı olması gerektiği önerilmiştir.
Avrupa Klinik Beslenme ve Metabolizma Derneği’nin (ESPEN), Evde Parenteral Beslenen ve Kronik Bağırsak Yetmezliği (HPN ve CIF) olan hasta grupları için tasarladığı, yaşam kalitesi ölçümü için bir öz değerlendirme aracı olan HPN-QOL ©, küçük bir İngiliz hasta grubunda psikometrik doğrulama yapıldıktan sonra uluslararası kullanımına izin vermek için Danimarka, Hollanda, Fransız, Alman, İtalyan, Leh ve İspanyol dillerine çevrilmiştir [16]. Bu nedenle, anketin temel psikometrik performansının değerlendirilmesi için daha fazla sayıda hasta ve diğer dillere çevirmenin yanı sıra, farklı Avrupa ülkelerinden toplanan HPN hastalarında yaşam kalitesi boyutlarının belirlenmesi ihtiyacı vardır. Ayrıca bazı faktörlerin, yaşam kalitesini belirleyen durumlar / maddeler ile önemli şekilde ilişkili olup olmadığı araştırılması faydalı olacaktır.
Dolayısıyla bu çalışmanın amacı:
- 1. HPN-QOL © ‘nin temel psikometrik özelliklerini çok uluslu bir örneklemde ve en sık kullanılan üç dil alt örneğinde (İngilizce, Fransızca ve İtalyanca) yeniden değerlendirmek,
- 2. Kısa ve uzun HPN tedavi süresi ile sınıflandırılan uluslararası bir hasta grubunda yaşam kalitesi boyutlarının tanımını sağlamak,
- 3. Yaşam kalitesi ile potansiyel olarak ilişkili klinik faktörleri araştırmaktır.
2. YÖNTEM
2.1. Çalışma tasarımı
ESPEN HAN & CIF çalışma grubu tarafından, çok merkezli olarak planlanmış, toplamda 14 ülkede (Avrupa, Kuzey Amerika ve Avustralya ülkeleri) yürütülen, kesitsel ve gözlemsel bir çalışmadır. Araştırma, çalışmanın baş araştırmacısına (JB) hibe veren ESPEN Bilim Komitesi tarafından desteklenmiştir. Hastaneden taburcu edilen ve HPN tedavisi önerilen yetişkin hastalar çalışmaya dahil edilmiştir. Zihinsel bozukluklar nedeniyle anketi dolduramayan (ya kendi kendini yönetemeyen ya da yönlendirilen) hastalar çalışmaya alınmamıştır.
2.2. Yaşam kalitesi ölçüsü ve veri toplama prosedürü
Evde parenteral beslenme ile tedavi edilen hastalarda yaşam kalitesinin değerlendirilmesinde tedaviye özgü bir araç olarak geliştirilen HPN-QOL © anketi, geriye dönük metodoloji [16] kullanılarak Danimarka, Hollanda dilleri ile Fransızca, Almanca, İtalyanca, Lehçe ve İspanyolca’ya çevrilmiştir. Fransızca çeviri, Belçika ve Fransızca konuşulan Kanada için, İngilizce ise ABD ve Kanada’da kullanım için uyarlanmıştır. İngilizce versiyonunun psikometrik validasyonu anketin yapısını doğrulamıştır [17]. Anket 7 adet çok maddeli fonksiyonel soru ve 1 adet tek maddeli fonksiyonel soru, 6 adet çok maddeli ve 3 adet tek maddeli semptom sorularını içermektedir [17]. Fonksiyonel sorular; Genel Sağlık (GH), Tatil ve Seyahat Etme Yeteneği (HT), Başa Çıkma (CO), Fiziksel İşlev (PF), Yeme ve İçme Yeteneği (ED), İstihdam (EM), Cinsel İşlev (SX) ve Duygusal İşlev (EF) alt boyutlarını içermektedir. Semptom veya problem soruları; Vücut Görüntüsü (BI), Hareketsizlik (IM), Yorgunluk (FA), Uyku Deseni (SP), Gastrointestinal Belirtiler (GI), Diğer Ağrı (PA), Stoma Varlığı veya Yokluğu (ST), Finansal Konular (FI) ve Ağırlık (WT) alt boyutlarını içermektedir. İki soru ise, beslenme ekipleri ve yüksek bir skorun iyi bir sonucu temsil ettiği HPN infüzyonu için ambulatuvar pompanın kullanılabilirliği ile ilgilidir. Anket, yüksek puanların yüksek yaşam kalitesine işaret ettiği üç ayrı 0-10 arası sayısal puanlama ölçeği (NRS) ile sona ermektedir. Bunlardan ilki, küresel bir yaşam kalitesi sorusu iken, diğer ikisi sırasıyla altta yatan hastalığın ve HPN’nin yaşam kalitesi üzerindeki toplam etkisini değerlendirmektedir. Anketin İngilizce versiyonunun tamamı, daha önce yayınlanmış bir makalenin yanı sıra, bu makalenin ekinde bulunabilir [17].
Yaş, cinsiyet dahil olmak üzere sosyo-demografik ve klinik veriler, eğitim düzeyi, medeni ve çalışma durumu, altta yatan hastalıklar, HPN nedenleri (yaşam boyu uzayan, yaşam kalitesini arttıran veya sürdüren), HPN süresi, HPN programının detayları (haftada bir infüzyon günü ve infüzyon saatleri) ve
fonksiyonel durumları, tedavi eden klinisyenler tarafından toplanmıştır.
Çalışma, hastaların kişisel bilgilerinin gizli kalması dikkate alınarak gerçekleştirilmiştir.
2.3. İstatistiksel Analizler
HPN-QOL ©, yukarıda bildirilen skorlama kurallarına göre puanlanmıştır [17]. Bir ölçekte veya anket formunun tamamında bulunan maddelerin %50’sinden fazlası eksik olduğunda, ölçek veya anketin toplam puanı hasta bazında yapılan analizlerden düşülmüş; kaçırılan öğelerin sayısı, tek bir ölçek için <% 50 olduğunda ise, cevaplanan öğelerin ortalaması basit bir değerlendirme için kullanılmıştır.
Ölçek puanları 0 ile 100 arasında değiştirilerek yeniden ölçeklendirilmiş ve okunabilirliği daha da iyileştirmek için, yüksek puanların tüm ölçeklerde aynı şekilde “iyi durumu” göstermesi (yani düşük semptom veya problemin şiddeti gibi yüksek işlev / iyi durumun belirtilmesi) sağlanmıştır.
Çalışmanın 1. amacında belirtilen psikometrik analizler, veri bütünlüğü, yakınsak / ayırt edici geçerliliği ve iç tutarlılık güvenilirliğini değerlendirmek için kullanılmıştır. Verilerin bütünlüğü, eksik ölçek puanlarının yüzdeleri ile ölçülmüştür. Yakınsak ve ayırt edici geçerliliği, her bir maddenin ve varsayımsal ölçeklerin ilişkilerini araştıran çok maddeli ölçeklendirme analizi [18] ile değerlendirilmiştir. Yakınsak geçerliliği, bir madde ile ait olduğu ölçek arasında önemli bir ilişki olduğunu gösterir; doğrulama için düzeltilmiş Pearson korelasyon katsayıları >0.4, yakınsak geçerliliği desteklemektedir [18]. Ayırma geçerliliği ise, bir madde ile varsayılmış ölçeği arasındaki korelasyonun diğer ölçeklerle olan korelasyondan daha yüksek olması durumunda desteklenir. Çok maddeli ölçeklerin iç tutarlılık güvenilirliği Cronbach’s alpha; 0.7’nin üzerindeki alfa değerleri genellikle grup karşılaştırması için kabul edilebilir olarak kabul edilir [18]. Örneklemin tamamında ve en büyük üç dil alt örneğinde (İngilizce, Fransızca ve İtalyanca) psikometrik analizler yapılmıştır. Örneklemde önceden tanımlanmış psikometrik kriterlere uymayan maddeler devredışı bırakma veya değiştirme için değerlendirilmiştir.
Çalışmanın 2. ve 3. amaçları, 44. Maddede (geçen hafta yaşam kaliteniz nasıldı?) bağımlı değişken olarak ele alındığı, genel yaşam kalitesi değerlendirmesinin yapıldığı çok değişkenli bir doğrusal regresyon modelinin kullanımı ile ele alınmıştır.
İlk analizde (“ana model”), aşağıdaki değişkenler esas olarak baz alınmıştır: HPN tedavi süresi (geri dönüşümlü ve geri dönüşü olmayan bağırsak yetmezliği arasında, kısa süreli veya 24 aylık bölümler halinde uzun olarak sınıflama) [7], yaş (sürekli değişken olarak ), cinsiyet, yaşam durumu, fonksiyonel durum, stoma varlığı, dil ve altta yatan hastalık (tümü kategorik değişkenler olarak). Özellikle ikinci değişkenin modellenmesi, önce farklı kategoriler kodlanmış, ardından önemli olmayanlar silinerek optimize edilmiştir. Bunun sebebi, değişkenleri test ederken gereksiz kategorilerden ve dolayısıyla istatistiksel güç kaybından kaçınmak olmuştur. Bu analiz, 451 kişiden alınan tüm veriler kullanılarak gerçekleştirilmiştir. Yukarıda belirtilen maddelere bir dizi HPN detayı (endikasyon, tedarik türü, infüzyon günleri ve saatleri) eklenerek, 424 kişiden oluşan grup ile ikinci bir analiz (“genişletilmiş model”) gerçekleştirilmiştir. Bu özellikler, çoğunlukla hasta ve hastalık özelliklerine göre ayarlanmış tedavi özelliklerini yansıtan klinik durumlar olsa da, bazı karışıklıklar meydana gelebilir. Dolayısıyla, ilk modelde hasta ve hastalık özelliklerinin prognostik etkileri, ikinci modelde ise diğer faktörlerle uyumlu tedavi detaylarının etkilerini araştıran, iki adımlı bir strateji uygulanmıştır. Bulgular, ana ve genişletilmiş modeller için sırasıyla, %95 güven aralığı (%95 CLs) ve Wald testindeki toplam p değerlerine karşılık gelen tahmini regresyon katsayıları beta cinsinden rapor edilmiştir. Her iki adım için de istatistiksel olarak önemlilik eşiği %5 seçilmiştir. İstatistiksel analizler SAS (versiyon 9.2, SAS Enstitüsü, Cary, NC) ve R yazılımı (versiyon 3.1.1, R İstatistiksel Hesaplama Kurumu, Viyana, Avusturya) ve STATA (versiyon 13) ile yapılmıştır.
3. Bulgular
3.1. Hasta özellikleri
Altı yüz doksan dokuz hasta çalışmaya katılmayı kabul etmiş ve anketi doldurmuştur. İstatistiksel analizler, %50’den fazla eksik cevaplanmış maddeyi içeren 8 hastanın anketi hariç tutulduktan sonra 691 hastadan alınan anketlerle yapılmıştır.
Hastaların çoğu, ortalama 54 yaşında olan, evli ya da bir eşle yaşayan ve en azından zorunlu okul eğitimi alan kadınlardan oluşmaktadır. Altta yatan hastalıklar en çok, Crohn hastalığı, motilite bozuklukları ve mezenterik iskemidir.
HPN’nin temel nedenleri yaşam süresini uzatmak veya QOL’yi iyileştirmekti. HPN infüzyonunun süresi, hastaların yaklaşık üçte birinde <2 yıl ve %26.4’ünde ise >10 yıl olarak tespit edilmiştir. Fonksiyonel durumlarına bakıldığında, hastaların yaklaşık üçte biri kısmen veya tamamen yardım alması gereken bireylerden oluşmaktadır.
Katılımcılara yapılan çeşitli hatırlatmalara rağmen, birçok sosyodemografik ve klinik veri toplama formu gönderilmemiş ve bu nedenle bazı veriler eksik kalmıştır (bkz. Tablo 1).
3.2. HPN-QOL©’nun psikometrik değerlendirmesi
Başlangıçta kullanılan çok maddeli ölçeklendirme ve iç tutarlılık analizleri, 4 (HPN yükü), 20 (sosyalleşme yeteneği), 30 (bulantı ve kusma) ve 41 (bağırsak hareketleri) maddelerinin orijinal anket yapısına göre uygun olmadığını göstermiştir. Bu nedenle, bu maddeler kendi ölçeklerinden (CO, PF, GI ve NoST) hariç tutulmuş ve tek madde ölçekleri olarak kabul edilmiştir (Tablo 2). Hastalığın etkisini ve HPN’nin global QOL üzerindeki etkisini değerlendiren iki adet 0-10 NRS maddesi, sırasıyla eksik verilerin %11 ve %12’sini karşılamaktadır. Bu rakamlar, hastaların hastalık ve HPN’nin QOL üzerindeki etkisini ayırt etmekte güçlük çektiği, önceki validasyon çalışmasının sonuçları ile uyuşmaktadır [16]. Bu nedenlerden dolayı iki madde analizden çıkarılmıştır.
Değiştirilen anket yapısı üzerinde yapılan psikometrik analiz sonuçları Tablo 2’de gösterilmektedir. Ölçeğe özgü ortalama puanların çoğu, 50 puanın altında kalan cinsel işlev, tatil/seyahat, çalışma durumu ve fiziksel fonksiyonlar hariç 60-70 puan aralığında olmuştur. Kayıp veri oranları -Tablo 2’de gösterilmemiştir- cinsiyetle ilgili iki madde hariç (%17 ve %20 kayıp) % 0 ile% 6 arasında değişmektedir. Buna göre, çoğu hasta için tamamlayıcılık (Tablo 2), tek istisna cinsel işlev (eksikliğin% 17’si), bazı hastalar için bu alandaki duyarlılık sorunlarından kaynaklanıyordu. Buna göre, bütünlük durumu ölçeklerin çoğu için, bazı hastaların yaşadıkları duyarlılık sorunlarından kaynaklanabilecek cinsel işlev fonksiyonu hariç (kayıp verinin %17’si)) iyi seviyede olarak belirlenmiştir (Tablo 2).
Tablo 1. Sosyo-demografik ve klinik hasta özellikleri
Maddelerin iç tutarlılık aralıklarının alt sınırları, ankette yer alan tüm maddeler (yalnızca Stoma bulunmayan ölçekteki (0.38 iç korelasyon), madde 42 (“bağırsak hareketlerinde zorluk”) ve 43 (“ağrılı bağırsak hareketleri”) hariç) kendi ölçeklerinde (> 0.4) yeterli bir korelasyon göstermektedir. Yapılan tüm karşılaştırmalarda maddelerin ayırıcı geçerlilik korelasyon değerleri (Tablo 2) yeterli bulunmuştur. Ancak QOL NRS, 0.32 olan diğer ölçeklerle medyan bir korelasyon sağlamıştır, veriler tabloda rapor edilmemiştir (0.14-0.53 aralığı, 5 korelasyon >0.4). İç tutarlılık güvenilirliği, çok maddeli ölçeklerin çoğu için yeterli bulunmuş, Cronbach alfa katsayıları genellikle 0.70 kriterinden yüksek veya EM (alfa=0.65), GI (alfa=0.66), PA (alfa= 0.65) ve noST (alfa=0.54) için kriter değerinin kısmen altında kaldığı belirlenmiştir. HPN-QOL © ‘un farklı İngilizce, Fransızca ve İtalyanca dil alt gruplarında (Ek Tablo A1, A2 ve A3) psikometrik olarak değerlendirilmesi, genel örneklemdekine benzer sonuçlar vermiş ve bu kültürel adaptasyonların kalitesini kanıtlamıştır.
3.3. QOL ile ilişkili faktörlerin araştırılması
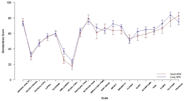
Çok değişkenli doğrusal regresyon modellemesinin sonuçları Tablo 3’te gösterilmiştir. “Ana modelde” yaş, cinsiyet, fonksiyonel durum, stoma varlığı ve dil istatistiksel olarak önemli bulunmamıştır. HPN süresi 24 aydan daha uzun olanların, daha kısa süreli olanlara göre daha iyi genel QOL skorları gözlenmiştir (beta = 0.55, %95 CL: 0.12, 0.98; P=0.013). Yöntemler bölümünde açıklanan prosedürle, altta yatan hastalıklara bağlı olarak iki ayrı küme belirlenmiştir. Crohn hastalığı veya mezenterik iskemi hastalarında, diğer hastalıklara (kanser, motilite bozuklukları, radyasyon enteriti veya belirtilmemiş durumlar) kıyasla daha iyi QOL gözlenmiştir. Karşılık gelen beta katsayısı 0.65’dir (% 95 CL: 0.25, 1.06; P = 0.002). Yaşam durumu ile ilgili olarak, tek başına yaşayan hastaların, yalnız yaşamayan hastalara kıyasla QOL sonuçları açısından dezavantajlı olma eğiliminde oldukları tespit edilmiştir (beta=0.64, %95 CL: 1.18, 0.10; P=0.021). Standardize edilmiş skalaya özgü puanların bütün profilleri HPN süresine, altta yatan hastalığa ve yaşam durumuna göre şekil 1-3’te gösterilmiştir. 20 ölçeğin; 11’inde HPN süresi>2 yıl olan hastalar, 16’sında Crohn hastalığı veya mezenterik iskemi hastaları ve 12’sinde yalnız yaşamayan hastaların daha yüksek puan aldıkları gözlenmiştir.
HPN özelliklerinin diğer faktörler için ayarlanan rolünü araştıran “genişletilmiş model”, yalnızca haftalık HPN infüzyon günleri için önemli bir sonuç gösterirken, özellikle negatif katsayı, infüzyon günlerinin artmasıyla kötüleşen bir genel QOL’ye işaret etmektedir.
Tablo 2. Madde Ölçeklendirme ve Güvenilirlik Sonuçları: Tüm Örnekler
4. TARTIŞMA
Bu makale, ESPEN adına HAN ve CIF ile özel olarak ilgilenen grup tarafından yürütülen, HPN hastalarının QOL’si ile ilgili bir araştırmanın son basamağını temsil etmektedir. HPN alan CIF’li yetişkin hastaların QOL’lerini değerlendirmek için kullanılan araçların incelenmesi ve bu konunun yeterlilik durumunun değerlendirilmesi ile başlamış [3,19], daha sonra QOL sorunlarının tespit edilmesi, geçici bir anketin oluşturulması ve ön testleriyle ilerlemiştir [16]. Anketin ölçek yapısı ilk olarak 100 hastadan oluşan bir ön çalışmada, güvenilirlik ve geçerlilik açısından test edilmiş, psikometrik ve klinik profil altında pozitif sonuçlar göstermiştir [17].
Bu çalışma, anketin psikometrik özelliklerini genişletilmiş çoklu dil örneklemleriyle analiz ederek daha da ileriye taşımıştır. Özellikle çok maddeli ölçeklendirme ve iç tutarlılık analizleri, çoğu madde için orijinal anket yapısına göre uygun olduğunu göstermiştir. İstisnalar, 4 (HPN’nin yükü), 20 (sosyalleşme yeteneği), 30 (bulantı ve kusma) ve 41’i (barsak hareketleri) kendi ölçeklerine eklenemeyen ve ayrı ayrı tek ürün ölçekleri olarak kabul edilmesi gereken maddelerden oluşmuştur. Ayrıca No-stoma skalasındaki 42 (“barsak hareketlerinde zorluk”) ve 43 (“ağrılı barsak hareketleri”) maddelerinin sınırda iç korelasyon gösterdiği bulunmuştur (0.38). Bu maddelerin zayıf tutarlılığına ilişkin açıklamalar sadece varsayımsaldır ve muhtemelen hasta popülasyonunun HPN üzerindeki heterojenliğini yansıtmaktadır. Örneğin, hastalığa bağlı semptomların düşük olduğu hastalar, HPN’nin yönetimi ile ilgili yükü abartmış olabilirler. Ya da birincil hastalıklarının / durumlarının yoğun bir şekilde tedavi edilmesini gerektiren hastalar, HPN’yi paha biçilmez bir yardım olarak algılayabilir ve isteyerek kabul edebilirler. Benzer bir açıklama “bağırsak hareketleri” ile ilgili maddeler için de geçerli olabilir, çünkü bazı hastalar (yani kronik bağırsak tıkanması için HPN alanlar) “sık bağırsak hareketlerini” pozitif olarak düşünürken, diğerlerinde olduğu gibi (kısa bağırsak sendromu olan hastalarda) aşırı sıvı kaybını telafi etmek için HPN hacminde, infüzyon saatlerinde ve / veya günlerinde bir artışa ihtiyaç duyulduğunu gösterir. Madde ayırt edici geçerlilik analizi, yapılan tüm karşılaştırmalar için tatmin edici korelasyon rakamları gösterirken; bu durum, farklı ölçeklerin örtüşmeyen anlamını doğrulamaktadır.
Tablo 3. QOL ile ilişkili faktörleri araştırmak için kullanılan çok değişkenli regresyon modellemesinden elde edilen sonuçlar
Son olarak, HPN-QOL © ‘un İngilizce, Fransızca ve İtalyanca dil alt gruplarında psikometrik olarak değerlendirilmesinin, genel örnekleminkine oldukça benzer sonuçlar vermesi, anketin psikometrik denkliğini üç dil versiyonunda doğrulamıştır.
“Ana modelin” çok değişkenli doğrusal regresyonu QOL skorunun; altta yatan hastalığın tipine, HPN tedavisinin süresine ve yaşam durumuna önemli ölçüde bağlı olduğunu göstermiştir. “Genişletilmiş model”, “ana model” tarafından tanımlanan faktörlere göre ayarlandığında, haftada HPN gün sayısının da QOL’ye önemli bir etkide bulunduğunu göstermiştir. Crohn hastalığı veya mezenterik iskemi hastalarında diğer hastalık türlerine (kanser, motilite bozuklukları, radyasyon enteriti veya belirtilmemiş durumlar) kıyasla daha iyi QOL skorları gözlenmiştir. Daha uzun HPN süresi olan hastalarda daha iyi genel QOL bulguları gözlenen bu çalışma, önceki çalışmalarda hastaların QOL’de olası bir iyileşme ile hastaların hastalıklarla zaman içinde başa çıkabildiklerini gösteren sonuçları ile tam uyum göstermiştir. Her ne kadar olumlu sonuçlar olsa da, bu yorumlama, kesitsel çalışmanın uzun süreli olmadığı ve dolayısıyla kesin değerlendirmelerin söz konusu olamayacağı göz önünde bulundurulmalı ve dikkatli olunmalıdır. Nitekim QOL, gastrointestinal hastalıktan ve HPN tedavisinin etkilerinin tesiri altındadır. Bu etkilerin boyutunu anlamak için, bir kohort çalışması ile aday hastalarının HPN’den önce ve sonra QOL skorlarının, prospektif olarak incelenmesi gerekmektedir. Bu tür bir kanıt, bu çalışmadaki gibi bir kesitsel çalışma ile elde edilemez. Yalnız yaşamanın en kötü QOL skorları ile ilişkili olması doğal karşılanırken, bu durum HPN yönetiminin karmaşık teknolojisi ve aseptik tekniklerin yönetiminde uzman olan mevcut bir bakıcının paha biçilemez rolüyle açıklanabilir. Ayrıca, yalnız yaşayan nüfusun düşük QOL’ye sahip olması beklenmektedir [19]. Gerçekten de HPN, CIF’in birincil tedavisidir ve bu nedenle, altta yatan hastalığın özelliklerine ve CIF’in patofizyolojik mekanizmasına bağlıdır [1]. QOL değerlendirmesi için genel bir değerlendirme aracı SF-36 kullanılarak küçük bir hasta popülasyonunun kısa süreli takibiyle gerçekleştirilen prospektif bir çalışmada, QOL azalmasının, HPN infüzyonunun haftadaki gün sayısındaki artışla ilişkili olduğu gözlenmiştir. Bu sonucun bağırsak yetmezliğinin bozulmasına neden olduğu düşünülmüştür [22]. Bununla birlikte, bu çalışmada, QOL’yi etkileyen ana faktörlere göre ayarlama yapıldığında, haftalık HPN infüzyon sayısının önemli bir rol oynadığı görülmektedir. Bu durum, QOL’un doğrulanmış bir SBS-QOLTM ölçeği kullanılarak değerlendirildiği, kısa bağırsak sendromlu hastalarla yapılan bir çalışmanın verileriyle uyumludur [23]. Altta yatan hastalık özelliklerine sahip olan bu hasta grubunda, HPN infüzyon hacminde (ve dolayısıyla infüzyonların saat ve / veya günlerinde) gözlenen azalmalar, QOL puanlarındaki iyileşmeler ile ilişkilendirilmiştir. 2014 yılında, ESPEN HAN & CIF grubu, hastaların bakış açısına göre en önemli 3 sonuç göstergesini (önerilen 9 listeden) belirlemeye yönelik uluslararası çok merkezli bir çalışma yürütmüştür [24]. Kateterle ilişkili enfeksiyon insidansı ve sağkalım oranı ilk iki gösterge iken, QOL üçüncü sırayı almıştır. İlginç bir şekilde, 9 sonuç göstergesinin 1’i (özgürlük ve bağımsızlık) için, HPN rejimine (HPN’nin haftada verilen gün sayısı) ve HPN deneyimine dayanan hasta kategorileri arasında önemli bir fark gözlenmiş ve bağımsızlık, deneyimleri daha az olan hastalar tarafından daha önemli olarak değerlendirilmiştir (HPN süresi <2 yıl). Daha az deneyimli hastaların çoğu haftada 7 gün HPN alırken, deneyimli hastalar ise haftada 3 ila 6 gün HPN almıştır. HPN rejimi ile ilgili olarak, 6 veya 7 gün HPN alan hastalar tutarlı bir şekilde bağımsızlığı önemli bulurken, ancak haftada 5 gün veya daha kısa süre HPN alan hastalar için durum farklılaşmıştır [24]. Bunların dışında hastalardan yeni göstergeler önermeleri istenmiş ve “Altta yatan hastalıkla ilgili sorunların mümkün olduğunca düşük tutulması” ve “HPN alınmayan günlerin sayısının en üst düzeye çıkarılması” [24] olarak belirlenmiştir. Genel olarak, bu çalışmanın sonuçları ve önceki çalışmalardan elde edilen sonuçlarla; altta yatan hastalığın yükünün, CIF için HPN’deki hastaların QOL’sini belirlemede birincil bir rol oynayacağını ve hastalık kontrolünü optimize ettikten sonra, HPN yükünü mümkün olduğu kadar düşürerek yaşam kalitesinin daha da geliştirilebileceği düşünülmektedir.
Bu çalışmada bazı sınırlılıklar söz konusu olmuştur. İlk olarak, çalışmaya başlangıçta katılan hastaların %35.5’i için sosyo-demografik ve klinik veriler hakkındaki bilgiler tam olarak alınamamıştır. Bunun nedeni ise, yalnızca hasta bildirilen ve HPN-QOL © ile sonuç değerlendirmesi yapan bazı merkezlerde yaşanan idari sorunlardan kaynaklanmıştır. İkincisi, önemli oranda örneklem büyüklüğü olmasına rağmen, bazı dil sürümleri için hasta sayısı (Almanca, Hollandaca, Danca, Lehçe ve İspanyolca), farklı psikometrik testlere izin vermeyecek kadar yetersiz kalmıştır. HPN-QOL ©’un klinik uygulamalarda rutin olarak kullanılmasıyla, daha fazla dile özgü daha fazla veri toplamak mümkün olacaktır. QOL ölçeği, evde parenteral beslenen çoğu hastada QOL’yi korumak veya geliştirmek için, küresel olarak klinik bakım kalitesini arttırma amacıyla oluşturulan, klinik kalite göstergeleri listesinin bir parçası olarak yer almalıdır [19]. Son olarak, bu çalışma HPN-QOL © anketinin test-tekrar test güvenilirliğini ve değişime karşı duyarlılığını ele alamamış ve bu nedenle gelecekteki çalışmalarda bu hususların değerlendirilmesi gerekmektedir.
Sonuç olarak, ESPEN kurallarını bütünleştirme potansiyeline sahip olan bu araştırma ile HPN uygulanan hastalarda QOL değerlendirmesi ile ilgili kanıt eksikliğini gidermek hedeflenmiştir. Sonuçlar hem teoriği hem de pratiği içermektedir. Birçok klinik servis hastalarını, yaşam kalitesi ve aldıkları hizmetten memnuniyet de dahil olmak üzere, Hasta Raporlarına Dayanan Sonuç Ölçütlerine yanıt vermeye davet etmektedir. QOL değerlendirmesinin rutin klinik bakımın içine yerleştirilmesiyle klinisyenlere, hasta merkezli iyi bakım olanağı sunan kanıtların ortaya çıkmasını sağlayacaktır [25].
Yazarların beyanı
JPB, HPN-QOL © anketini tasarlamış ve makaleyi hazırlamıştır; DG, CB ve LM veri analizi yapmı ve makale yazımına katkıda bulunmuştur; FB ve LP ise makale yazımına katkıda bulunmuştur. Tüm yazarlar çalışmayı birlikte yürütmüş ve makaleyi incelemiştir. PMF çalışmanın istatistikçisi olarak yer almıştır.
Çıkar çatışması beyannamesi
Yazarlar, rekabet edebilecek bir çıkarları olmadığını beyan etmektedir.
Fon Kaynakları
Bu çalışma 2009 ESPEN Araştırma Ağı Hibesi tarafından finanse edilmiştir.
Teşekkür
Tüm yazarlar, kendi ülkelerindeki hastalara ve veri toplanmasına katkıda bulunan aşağıda isimleri bulunan kişi ve kurumlara teşekkürlerini sunmaktadır:
Jon Shaffer ve Ann Bradley Bağırsak Yetersizliği Birimi, Salford Kraliyet Hastanesi, Manchester, İngiltere, Paul Thul, Charite Üniversitesi Hastanesi, Berlin, Almanya, Marion O’Connor, John Radcliffe Hastanesi, Oxford, İngiltere, Malgoratza Lyszkowska, Çocuk Anıt Hastanesi, Varşova , Polonya, Linda Santarpia, Klinik Beslenme ve Dahiliye, Klinik ve Deneysel Tıp Anabilim Dalı, Federico II Üniversitesi, Napoli, İtalya, Daniele Giardiello, Tıbbi İstatistikler Birimi, Biyometri, Biyoinformatik, Fondazione IRCCS Instituto Nazionale dei Tumori, Milan, İtalya, Getty Huismann-de Waal, Radboud Üniversitesi Nijmegen Tıp Merkezi, Amsterdam.
Ek A. Ek veriler
Bu makale ile ilgili ek veriler aşağıdaki adreste bulunabilir:
https://doi.org/10.1016/j.clnu.2018.07.024
[2] Pironi L, Arends J, Bozzetti F, Cuerda C, Gillanders L, Jeppesen PB, et al., Home Artificial Nutrition & Chronic Intestinal Failure Special Interest Group of ESPEN. ESPEN guidelines on chronic intestinal failure in adults. Clin Nutr 2016 Apr;35(2):247e307.
[3] Baxter JP, Fayers PM, McKinlay AW. A review of the quality of life of adult patients treated with long-term parenteral nutrition. Clin Nutr 2006;25: 543e53.
[4] Huisman-de Waal G, Schoonhoven L, Jansen J, Wanten G, van Achterberg T. The impact of home parenteral nutrition on daily lifeda review. Clin Nutr 2007;26:275e88.
[5] Persoon A, Huisman-de Waal G, Naber TA. Impact of long-term HPN on daily life in adult. Clin Nutr 2005;24:304e13.
[6] Huisman-de Waal G, Versleijen M, van Achterberg T, Jansen JB, Sauerwein H, Schoonhoven L, et al. Psychosocial complaints are associated with venous access-device related complications in patients on home parenteral nutrition. J Parenter Enter Nutr 2011;5:588e95.
[7] Messing B, Crenn P, Beau P, Boutron-Ruault MC, Rambaud JC, Matuchansky C. Long-term survival and parenteral nutrition dependence in adult patients with the short bowel syndrome. Gastroenterology 1999;117:1043e50.
[8] Huismann-de Waal G, Bazelmans E, van Achterberg T, Jansen J, Sauerwein H, Wanten G, et al. Predicting fatigue in patients using home parenteral nutrition. Int J Behav Med 2011;18(3):268e76.
[9] Baxter J, Gillanders L, Angstmann K, Staun M, O’Hanlon C, Smith T, et al. Home parenteral nutrition (HPN): an international benchmarking exercise. E-SPEN J 2012;7:e211e4.
[10] Vantini I, Benini L, Bonfante F, Talamini G, Sembenini C, Chiarioni G, et al. Survival rate and prognostic factors in patients with intestinal failure. Dig Liver Dis: Off J Ital Soc Gastroenterol Ital Assoc Study Liver 2004;36(1): 46e55.
[11] Scolapio JS, Fleming CR, Kelly DG, Wick DM, Zinmeister AR. Survival of home parenteral nutrition-treated patients: 20 years of experience at the Mayo Clinic. Mayo Clin Proc 1998;74(3):217e22.
[12] Lloyd DA, Zabron AA, Gabe SM. Chronic biochemical cholestasis in patients receiving home parenteral nutrition: prevalence and predisposing factors. Aliment Pharmacol Ther 2008;27(7):552e60.
[13] Pironi L, Joly F, Forbes A, Colomb V, Lyszkowska M, Baxter J, et al. Long term follow up of patients on home parenteral nutrition in Europe: implications for intestinal transplantation. Gut 2011;60:1.
[14] Hallum N, Baxter JP, McKinlay A, McKee RF. Home parenteral nutrition in Scotland: outcome and seven year prospective follow up in a nationwide adult population. Clin Nutr e-SPEN J 2012:e30e4.
[15] Staun M, Pironi L, Bozzetti F, Baxter JP, Forbes A, Joly F, et al. ESPEN guidelines on parenteral nutrition: home parenteral nutrition (HPN) in adult patients. Clin Nutr 2009;28:467e79.
[16] Baxter JP, Fayers PM, McKinlay AW. The development and translation of a treatment-specific quality of life questionnaire for adult patients on home parenteral nutrition. e-SPEN Eur e-J Clin Nutr Metab 2007;3(1):e22e8. http://www.journals.elsevierhealth.com/periodicals/yeclnm/article/S1751-4991.
[17] Baxter JP, Fayers PM, McKinlay AW. The clinical and psychometric validation of a questionnaire to assess the quality of life of adult patients treated with long term parenteral nutrition. J Parenter Enteral Nutr 2010;34:131e42.
[18] Hays RD, Hayashi T, Carson S. Users guide for the multitrait analysis program MAP. Santa Monica, CA: RAND; 1988.
[19] Baxter JP, Fayers PM, McKinlay AW. A Review of the instruments used to assess quality of life of adult patients with chronic intestinal failure receiving parenteral nutrition at home. Br J Nutr 2005;94:633e8.
[20] Winkler MF, Wetle T, Smith C, Hagan E, O’Sulllivan Maillet J, Touger-Decker R. The meaning of food and eating among home parenteral nutrition-dependent adults with intestinal failure: a qualitative inquiry. J Am Diet Assoc 2010;110: 1676e83.
[21] Winkler MF, Hagan E, Wetle T, Smith C, Maillet JO, Touger-Decker R. An exploration of quality of life and the experience of living with home parenteral nutrition. J Parenter Enteral Nutr 2010;34:395e407.
[22] Pironi L, Paganelli F, Mosconi P, Morselli-Labate AM, Spinucci G, Merli C, et al. The SF-36 instrument for the follow-up of health-related quality-oflife assessment of patients undergoing home parenteral nutrition for benign disease. Transplant Proc 2004 Mar;36(2):255e8. PubMed PMID:15050126.
[23] Jeppesen PB, Pertkiewicz M, Forbes A, Pironi L, Gabe SM, Joly F, et al. Quality of life in patients with short bowel syndrome treated with the new glucagonlike peptide-2 analogue teduglutide–analyses from a randomised, placebocontrolled study. Clin Nutr 2013 Oct;32(5):713e21. https://doi.org/10.1016/j.clnu.2013.03.016. Epub 2013 Mar 28. PubMed PMID: 23587733.
[24] Dreesen M, Pironi L, Wanten G, Szczepanek K, Foulon V, Willems L, et al. Outcome indicators for home parenteral nutrition care: point of view from adult patients with benign disease. J Parenter Enter Nutr 2015 Sep;39(7):828e36. https://doi.org/10.1177/0148607114536926. Epub 2014 Jun 10. PubMed PMID: 24917517.
[25] Baxter JP, Moreno Villares JM. Home parenteral nutrition: quality of life and psychosocial issues. In: Bozzetti F, Staun M, Van Gossum A, editors. Home parenteral nutrition CAB international. 2nd ed. 2015. p. 381e94.
